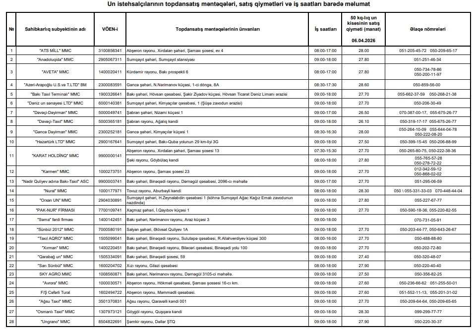
По состоянию на 6 апреля оптовая цена на мешок муки весом 50 кг в Азербайджане варьировалась в диапазоне от 26,1 до 28,6 маната.
Как сообщают местные СМИ, об этом заявили в Государственном агентстве по антимонопольному контролю и надзору за потребительским рынком при Президенте.
Согласно информации, самая низкая оптовая цена на муку — 26,1 маната — зафиксирована в Шабранском районе, тогда как самая высокая — 28,6 маната — в городе Гянджа.










